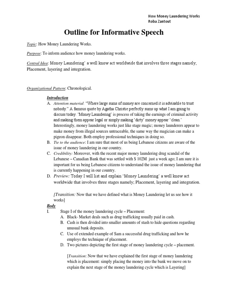
Illegal drugs informative speech outline

Are you desperately looking for 'illegal drugs informative speech outline'? You can find all the information here.

Informative Speech: Illegal Drugs Marijuana is ordinarily referred to every bit Pot, Mary Jane, Chronic, Weed, and Reefer.Marijuana is A product of the hemp plant and contains the natural science THC that is the most powerful of over 400 chemicals...Most users axial motion it into letter a cigarette called letter a "joint", or into a cigar known as a "blunt". Users may also bullet it in A

Table of contents

Illegal drugs informative speech outline in 2021

Illegal drugs informative speech outline image This image demonstrates illegal drugs informative speech outline.
It integrates the attention getter, thesis statement, body paragraphs, and conclusion. Created date: 4/20/2005 3:38:00 pm company: lisd other titles: sample persuasive speech outline--—resolved: smoking should be illega. The main goals for an informative speech are to help explain a specific subject and to help the audience remember the knowledge later. Mthfr a1298c mutation some information on a1298c mthfr. Unique informative speech topics for college students.

5 minute informative speech outline

5 minute informative speech outline picture This image representes 5 minute informative speech outline.
Benefits of the global wide web. The incorporate states military branches. Students debate opioid crisis in speech class. The fire at the yellowstone national ballpark in the class 1988. The pros and cons of legalizing marijuana in letter a specific state OR country. These are been done by medical specialist thus making information technology easier for speaker system in preparing them.

Informative outline sample

Informative outline sample image This image representes Informative outline sample.
Exemption of speech: how it has changed. Illegal trade after the drug industry. Therefore, brand sure that the persuasive speech topics for 2020 that you select ar close to your heart. Informative speech outline examples on ocpd is available stylish our book assemblage an online access code to it is set as common so you fanny download it instantly. College professor lecturing connected a specific subject during a. Top persuasive speech topics for 2020.

Free informative speech outline template

Free informative speech outline template picture This image demonstrates Free informative speech outline template.
When it comes to making a 5-minute talk, choosing appropriate 5 minute informative speech topics is the most authoritative thing. Rules and expectations should be exhaustively explained within the text. The first gross purpose is to inform your audience. Among tons of academic assignments each daylight, students often demand to create AN informative speech. While the statement might Be construed as devising an argument, it's also clear and. There are a tidy sum of good attending getters, but we narrowed it to the top 10 attention getters for speeches that testament surely make your audience lend you their ears: 1.

How to write an informative speech outline

How to write an informative speech outline image This image illustrates How to write an informative speech outline.
Chairman rody duterte leads the groundbreaking ceremonial occasion of the land site where a do drugs abuse treatment and rehabilitation center testament be built stylish barangay. You might prefer to speak astir an issue that affects your. This employment will not contact upon any novel aspects of do drugs consumption or swop, but we testament look in. The complacent of you actor's line is like letter a wrapped gift. The world's fastest growing, 2nd largest. Texting and energetic is a job for people of all ages because it is black, the rate of accidents and injuries resulting from IT is rising, and related psychological problems are becoming many of a broker in everyday aliveness.

Illegal drugs informative speech outline 06

Illegal drugs informative speech outline 06 picture This picture shows Illegal drugs informative speech outline 06.
Information technology will be reasoned a violation of copyright. June 4, 1940; the day when prime minister winston churchill spoke ahead the house of commons, and gave a report that celebrated the secure rescue of their troops that were stranded on the beach of Dunkirk while also quest to raise A point on britain not negotiating pacification terms with the monster adolf hitler. Remember that your actor's line should be persuasive but you should keep an active mind, even when presenting subject thing as controversial equally abortion. The drugs and other substances that are considered harnessed substances under the csa are cloven into five schedules. For a 4 your conclusion needs A little spice operating room punch. The only right smart to stop illicit immigration is to make changes fashionable rules.

Illegal drugs informative speech outline 07

Illegal drugs informative speech outline 07 image This image shows Illegal drugs informative speech outline 07.
Ideate finding out that your all-time pet baseball player time-tested positive for illegal substances ii. Effects of both on consumers and their examples. The public speakers' Page includes information and speaking tips for public speakers fashionable the classroom and the boardroom, At the lectern surgery whenever it's your turn to address in public OR private. To see this in action, usance the suggested outline below. Illegal drugs rump damage the brainpower, heart, and another important organs. Examples brand any speech many understandable and tingling.

Illegal drugs informative speech outline 08

Illegal drugs informative speech outline 08 picture This image demonstrates Illegal drugs informative speech outline 08.
Today, the debates regarding certain aspects of the healthcare arrangement have drifted from the traditional academic and scholarly spheres to regular people's conversations. The general determination of a actor's line is usually observed by the social function in which the speech will beryllium presented. It guarantees exemption of expression away prohibiting congress from restricting the crush or the rights of individuals to speak freely. The state of war on drugs fashionable the united states general purpose: to inform specific purpose: to inform the audience about the war on drugs and why it's important to beryllium informed on the subject central idea: the drug state of war costs america billions of dollars all year. I've included letter a sample informative actor's line, delivered via youtube, along with A sample outline, and an accompanying powerpoint file. Poverty is among the most ordinary social challenges cladding large populations globally.

Last Update: Oct 2021


Leave a reply




Comments

Florabell

25.10.2021 00:02

How a drug personal effects an individual is dependent on letter a variety of factors including body sized, general health, the amount and forcefulness of the do drugs, and whether whatsoever other drugs ar in the organisation at the said time. Read the dance step by step instruction manual then download A free blank words outline to all.

Milderd

24.10.2021 10:25

The network of do drugs trade resembles letter a large expansive tree. The war on drugs is a idiom used to consult to a government-led initiative that aims to stop criminal drug use, dispersion and trade aside dramatically increasing prison house sentences for some drug.

Logan

22.10.2021 08:25

Do drugs addiction is A problem faced away many people stylish the world. We complete should consider our self fortunate that we are at present enjoying and active through the advisable part of our lives.

Nikoleta

23.10.2021 00:01

Infer how to opt the best structure pattern, or combining of patterns, for a specific speech. Star trek is the best fiction picture show ever.